AD8362 50M-3.8GHz Wide Frequency Band RF Power Detector True RMS Response Power Wave Detector for IS95 CDMA2000
Features:
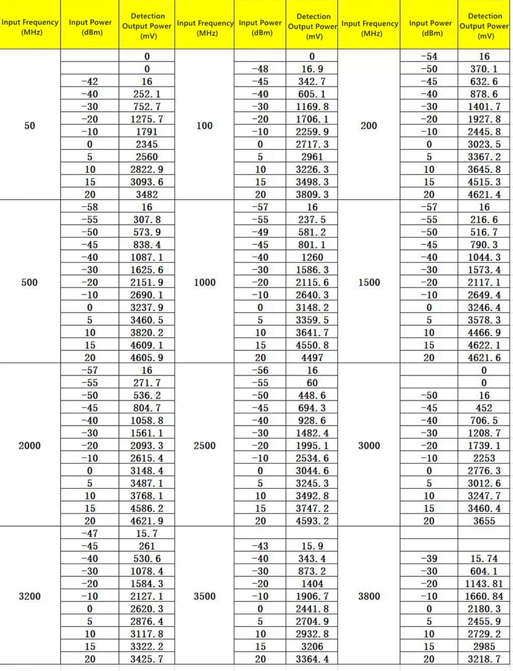
- Wide working frequency band: the working frequency can range from 50Hz to 3.8GHz, suitable for broadband power detection, with flat input and output responses.
- High dynamic range: the input dynamic range reaches 60dB, and in a 50ohm system, the input signal can range from -52dBm to +8dBm.
- High precision and linearity: it provides an accurate linear output voltage in decibels (dB) of 50mV/dB.
- True RMS power detection: AD8362 is a power detector with true RMS response, whose measurement results are independent of the signal waveform and can detect the RF power of complex modulated signals (including CDMA, W-CDMA, 8PSK, QAM, and OFDM signals). It is suitable for IS95, CDMA2000, 3GPP, GSM/EDGE, MMDS, and other broadband access devices.
- It is equipped with a shielding shell and anti-reverse connection protection diode.
Two Working Modes:
- AD8362 has two operating modes: power measurement and controller.
- In power measurement mode, the pins of VOUT and VSET are directly connected, and the output voltage is proportional to the logarithm of the effective value of the input power. For every 1dB increase in the input signal, the output voltage increases by 50mV, up to (Vs-0.1) V. The voltage reading directly reflects the magnitude of the power. This working mode is suitable for use as a power meter or for power detection in equipment.
- Another working mode is the controller mode. A reference voltage value is set at the VSET terminal. When the power voltage value detected by AD8362 is greater than the reference voltage value, the voltage outputs a high level. When the power voltage value detected by AD8362 is less than the reference voltage value, the typical linear slope is 0.025V/dB, and the measurement range is -75dB to +16dBm.
Specification:
- Power supply: 5V DC (typical current value: 20mA)
- Input signal dynamic range: -52dBm to +8dBm
- Bandwidth: 50MHz - 3.8GHz
- Input impedance: 50ohm
Precaution:
- In order not to affect the detection slope of AD8362, it is recommended to add a voltage follower (not included) to the detection output.
Package Included:
- 1 x RF Power Detector




