True RMS Response Power Detector AD83622 50MHz-3.8GHz Fully Shielded Shell Detect Wide-Band Power
Features:
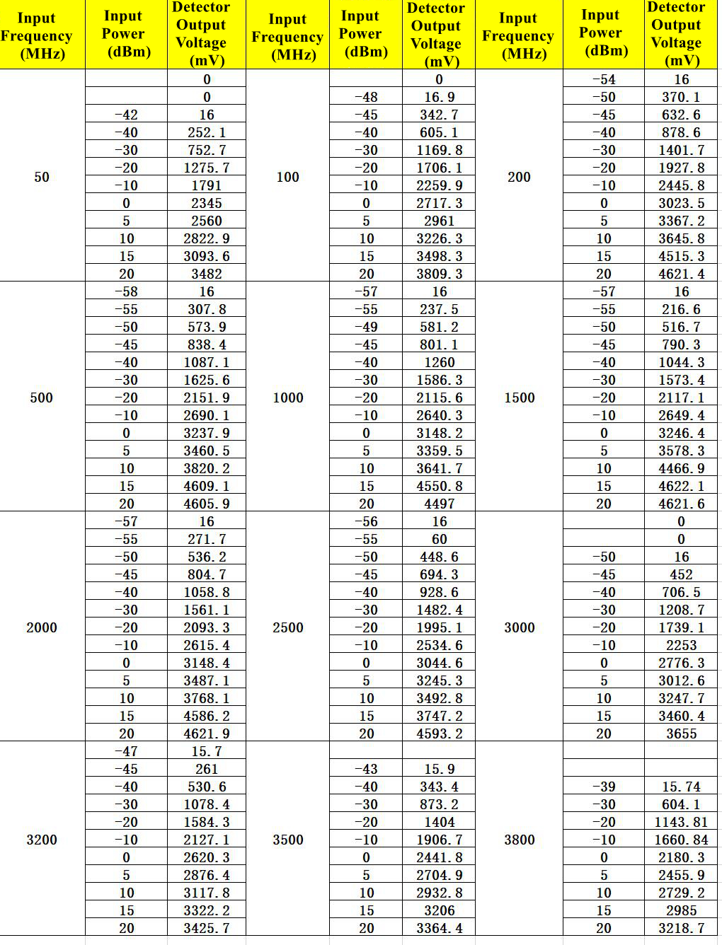
1. Working frequency bandwidth: Working frequency can be from 50MHz to 3.8GHz, suitable for wide-band power detection, with flat input and output response.
2. High dynamic range: The input dynamic range is up to 60dB. In a 50Ω system, the input signal can range from -52 dBm to +8dBm.
3. High accuracy and linearity. Provide an accurate linear output voltage in decibels (dB), 50mV/dB.
4. True RMS power detection AD8362 is a true RMS response power detector. Its measurement results are independent of signal waveforms and can detect the RF power of complex modulation signals (including CDMA, W-CDMA, 8PSK, QAM and OFDM signals). Suitable for IS95, CDMA2000, 3GPP, GSM/EDGE, MMDS and other broadband access equipment.
5. AD8362 has two working modes: power measurement and controller. In the power measurement mode, VOUT is directly connected to VSET pin, and the output voltage is proportional to the logarithm of the effective value of input power. When the input signal increases by 1dB, the output voltage Vout increases by 50 mV, up to (Vs-0.1)V. The reading of its voltage directly reflects the size of the power. This working mode is suitable for power meter or power detection in equipment. Another working mode is the controller mode. Set a reference voltage value at the VSET end. When the power voltage value detected by AD8362 is greater than the reference voltage value, Vout outputs a high level. When the power voltage value detected by AD8362 is less than the reference voltage value, the voltage Vout is used to measure power with AD8307, the typical linear slope is 0.025 V/dB, and the measurement range is -75 dBm to +16 dBm. With shielding shell and anti-reverse connection protection diode.
Technical Parameters:
1. Power supply voltage: 5V DC (typical current value 20mA)
2. Dynamic range of input signal: -52 dBm to +8dBm
3. The module supports changing the slope of detection, power measurement and controller.
4. Bandwidth: 50MHz to 3.8GHz
5. Metal shell shield with aluminum alloy tube
6. Input impedance: 50 ohms (input signal is matched with balun)
Detection Slope, Power Measurement and Controller (refer to circuit description part):

Measurement Parameters:
The dynamic range of the module's default mode is 60DB, which is equivalent to the power range (-52dbm to +8dbm), which means that the slope of the 4-pin output is 50mV/DB.
Attention/Debugging Experience:
In many applications, in order not to affect the detection slope of AD8362, it is best to add a voltage follower to the detection output.
Package Included:
- 1 x Power Detector